Clemeprol

Clemeprol
Clinical data
Other namesBRL 14342
Identifiers
  • 1-(3-chlorophenyl)-3-(dimethylamino)-1-phenylpropan-2-ol
CAS Number
PubChem CID
ChemSpider
UNII
ChEMBL
CompTox Dashboard (EPA)
Chemical and physical data
FormulaC17H20ClNO
Molar mass289.80 g·mol−1
3D model (JSmol)
  • CN(C)CC(C(C1=CC=CC=C1)C2=CC(=CC=C2)Cl)O
  • InChI=InChI=1S/C17H20ClNO/c1-19(2)12-16(20)17(13-7-4-3-5-8-13)14-9-6-10-15(18)11-14/h3-11,16-17,20H,12H2,1-2H3
  • Key:KGSABFQIAANNPS-UHFFFAOYSA-N

Clemeprol is an serotonin–norepinephrine reuptake inhibitor (SNRI) antidepressant and anticholinergic agent.[1]

It is an enantiomeric mixture of R and S isomers. Both isomers show similar pharmacological activity.[2][3]

Synthesis

Published Procedure

A synthetic pathway for clemeprol is disclosed: [4][5][6][7][8]

Clemeprol synthesis
Clemeprol synthesis

The Johnson–Corey–Chaykovsky reaction (CCR) between 3-chlorobenzophenone [1016-78-0] (1) and dimethylsulfoxonium methylide (aka Corey's reagent or Corey-Chaykovsky Reagent) [5367-24-8], gives 2-(3-chlorophenyl)-2-phenyloxirane [71827-53-7] (2). Further reaction with boron trifluoride etherate [109-63-7] gives m-chlorophenyl-phenylacetaldehyde, PC12549135 (3). A second Corey-Chaykovsky epoxidation gives 2-[(3-chlorophenyl)-phenylmethyl]oxirane, PC12549073 (4). Quenching with dimethylamine completes the synthesis of clemeprol (5).

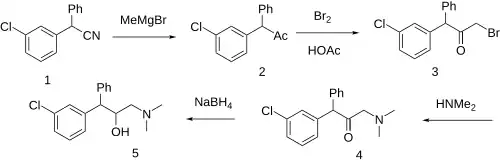
Hypothetical Synthesis

A hypothetical synthesis of clemeprol based on method A in the cited literature is disclosed.[4]

Clemeprol synthesis (hypothetical)
Clemeprol synthesis (hypothetical)

The precursor is called 2-(3-Chlorophenyl)-2-phenylacetonitrile (1). This would be prepared using methodology that was described already under the diphenylacetonitrile document. A Grignard reaction with one equivalent of methylmagnesium bromide leads to a FGI of the nitrile to the acetyl compound (2). The alpha-bromination of the acetyl group with one equivalent of a halogenating agent (either molecular bromine/HOAc or NBS can be used) gives (3). The bromide leaving group is displaced by dimethylamine giving (4). Sodium borohydride can then be used as the reducing agent to convert the keto carbonyl group into a secondary alcohol, completing the synthesis of clemeprol (5).

See also

References

  1. ^ Dictionary of Pharmacological Agents By C.R. Ganellin, David J. Triggle.
  2. ^ Clark MS, Johnson AM, McClelland GR, Nelson DR (December 1980). "Pharmacological and biochemical properties of BRL 14342, a novel potential antidepressant drug". Neuropharmacology. 19 (12): 1207–8. doi:10.1016/0028-3908(80)90203-8. PMID 7442949.
  3. ^ Koch, H., Drugs Future, 1983,8, 194.
  4. ^ a b Clark JA, Clark MS, Gardner DV, Gaster LM, Hadley MS, Miller D, et al. (November 1979). "Substituted 3-amino-1,1-diaryl-2-propanols as potential antidepressant agents". Journal of Medicinal Chemistry. 22 (11): 1373–9. doi:10.1021/jm00197a018. PMID 533885.
  5. ^ Anon., GB1448437 (1976-09-08 to Beecham Group Ltd).
  6. ^ Judith Ann Clark, U.S. patent 4,101,676 & U.S. patent 4,113,972 (1978 to Beecham Group PLC).
  7. ^ Judith Ann Clark, U.S. patent 4,056,630 (1977 to Beecham Group PLC).
  8. ^ CA1049530 idem Judith Ann Clark, U.S. patent 4,028,415 (1977 to Beecham Group PLC).