Huesa
Huesa, Spain | |
|---|---|
city | |
![]() | |
![]() Coat of arms | |
![]() Huesa Location in the Province of Jaén ![]() Huesa Huesa (Andalusia) ![]() Huesa Huesa (Spain) | |
| Coordinates: 37°46′N 3°04′W / 37.767°N 3.067°W | |
| Country | |
| Autonomous community | |
| Province | |
| Municipality | Huesa |
| Area | |
• Total | 137 km2 (53 sq mi) |
| Elevation | 655 m (2,149 ft) |
| Population (2018)[1] | |
• Total | 2,527 |
| • Density | 18/km2 (48/sq mi) |
| Time zone | UTC+1 (CET) |
| • Summer (DST) | UTC+2 (CEST) |
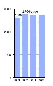
Huesa is a city located in the province of Jaén, Spain. According to the 2005 census (INE), the city had a population of 2,727 inhabitants.
Its principal agricultural activity is cultivating olives.
Demographic
| Variety demographic of this municipality between 1991 and 2004. |
![]() |
See also
References
- ^ Municipal Register of Spain 2018. National Statistics Institute.

.svg.png)



