Lanosterol

Lanosterol
Ball-and-stick model of lanosterol
Names
IUPAC name
Lanosta-8,24-dien-3β-ol
Systematic IUPAC name
(1R,3aR,5aR,7S,9aS,11aR)-3a,6,6,9a,11a-Pentamethyl-1-[(2R)-6-methylhept-5-en-2-yl]-2,3,3a,4,5,5a,6,7,8,9,9a,10,11,11a-tetradecahydro-1H-cyclopenta[a]phenanthren-7-ol
Identifiers
3D model (JSmol)
2226449
ChEBI
ChEMBL
ChemSpider
DrugBank
ECHA InfoCard 100.001.105
EC Number
  • 201-214-9
KEGG
MeSH Lanosterol
UNII
  • InChI=1S/C30H50O/c1-20(2)10-9-11-21(3)22-14-18-30(8)24-12-13-25-27(4,5)26(31)16-17-28(25,6)23(24)15-19-29(22,30)7/h10,21-22,25-26,31H,9,11-19H2,1-8H3/t21-,22-,25+,26+,28-,29-,30+/m1/s1 checkY
    Key: CAHGCLMLTWQZNJ-BQNIITSRSA-N checkY
  • InChI=1/C30H50O/c1-20(2)10-9-11-21(3)22-14-18-30(8)24-12-13-25-27(4,5)26(31)16-17-28(25,6)23(24)15-19-29(22,30)7/h10,21-22,25-26,31H,9,11-19H2,1-8H3/t21-,22-,25+,26+,28-,29-,30+/m1/s1
    Key: CAHGCLMLTWQZNJ-BQNIITSRBP
  • C[C@H](CCC=C(C)C)[C@H]1CC[C@]2(C)C1CCC3=C2CC[C@H]4C(C)(C)[C@@H](O)CC[C@]34C
Properties
C30H50O
Molar mass 426.71 g/mol
Melting point 138 to 140 °C (280 to 284 °F; 411 to 413 K)
Except where otherwise noted, data are given for materials in their standard state (at 25 °C [77 °F], 100 kPa).
☒N verify (what is checkY☒N ?)
Infobox references

Lanosterol is a tetracyclic triterpenoid and is the compound from which all animal and fungal steroids are derived. By contrast, plant steroids are produced via cycloartenol.[1] In the eyes of vertebrates, lanosterol is a natural constituent, having a role in maintaining health of the lens. Lanosterol is the precursor to cholesterol.[2]


Biosynthesis

The biosynthesis of lanosterol has been intensively investigated.[2]

Description Illustration Enzyme
Two molecules of farnesyl pyrophosphate condense with reduction by NADPH to form squalene squalene synthase
Squalene is oxidized to 2,3-oxidosqualene (squalene epoxide) squalene monooxygenase
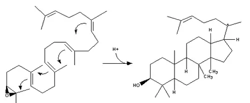
2,3-Oxidosqualene is converted to a protosterol cation and finally to lanosterol lanosterol synthase
(step 2) (step 2)

Elaboration of lanosterol under enzyme catalysis leads to other steroids. 14-Demethylation of lanosterol by CYP51 eventually yields cholesterol.

Simplified version of the lanosterol synthesis pathway with the intermediates isopentenyl pyrophosphate (IPP), dimethylallyl pyrophosphate (DMAPP), geranyl pyrophosphate (GPP), and squalene shown. Some intermediates are omitted.

Research as an eye drop supplement

As a molecule naturally enriched in the eye lens, lanosterol is a component involved in maintenance of lens clarity.[3][4] Its proposed mechanism of action is to inhibit the aggregation of crystallin proteins, which contribute to the clouding of vision by forming cataracts.[3][4]

Lanosterol is under research for its potential as a therapeutic additive in eye drops to inhibit the aggregation of crystallin proteins and dissolve cataracts.[3][4] However, supplemental lanosterol in eye drops appears to have limited solubility and poor bioavailability in the eye, and has not proved effective for inhibiting cataracts, as of 2020.[3][4]

See also


References

  1. ^ Schaller, Hubert (May 2003). "The role of sterols in plant growth and development". Progress in Lipid Research. 42 (3): 163–175. doi:10.1016/S0163-7827(02)00047-4. PMID 12689617.
  2. ^ a b c Nes, W. David (2011). "Biosynthesis of cholesterol and other sterols". Chemical Reviews. 111 (10): 6423–6451. doi:10.1021/cr200021m. PMC 3191736.
  3. ^ a b c d Daszynski DM, Santhoshkumar P, Phadte AS, et al. (June 2019). "Failure of oxysterols such as lanosterol to restore lens clarity from cataracts". Scientific Reports. 9 (1): 8459. doi:10.1038/s41598-019-44676-4. PMC 6560215. PMID 31186457.
  4. ^ a b c d Xu J, Fu Q, Chen X, Yao K (November 2020). "Advances in pharmacotherapy of cataracts". Annals of Translational Medicine. 8 (22): 1552. doi:10.21037/atm-20-1960. PMC 7729355. PMID 33313297.