Moracizine

Moracizine
Clinical data
Trade namesEthmozine
Other namesMoricizine (USAN US)
AHFS/Drugs.comConsumer Drug Information
MedlinePlusa601214
Pregnancy
category
ATC code
Pharmacokinetic data
Bioavailability34–38%
Protein binding95%
Elimination half-life3–4 hours (healthy volunteers), 6–13 hours (cardiac disease)
Identifiers
  • ethyl [10-(3-morpholin-4-ylpropanoyl)-10H-phenothiazin-2-yl]carbamate
CAS Number
PubChem CID
IUPHAR/BPS
DrugBank
ChemSpider
UNII
KEGG
ChEBI
ChEMBL
CompTox Dashboard (EPA)
ECHA InfoCard100.046.216
Chemical and physical data
FormulaC22H25N3O4S
Molar mass427.52 g·mol−1
3D model (JSmol)
  • O=C(OCC)Nc2cc1N(c3c(Sc1cc2)cccc3)C(=O)CCN4CCOCC4
  • InChI=1S/C22H25N3O4S/c1-2-29-22(27)23-16-7-8-20-18(15-16)25(17-5-3-4-6-19(17)30-20)21(26)9-10-24-11-13-28-14-12-24/h3-8,15H,2,9-14H2,1H3,(H,23,27) checkY
  • Key:FUBVWMNBEHXPSU-UHFFFAOYSA-N checkY

Moracizine[1] or moricizine, sold under the trade name Ethmozine, is an antiarrhythmic of class IC.[2] It was used for the prophylaxis and treatment of serious and life-threatening ventricular arrhythmias,[3] but was withdrawn in 2007 for commercial reasons.[4]

Pharmacology

Moracizine, a phenothiazine derivative, undergoes extensive first-pass metabolism and is also extensively metabolized after it has entered the circulation. It may have pharmacologically active metabolites. A clinical study has shown that moracizine is slightly less effective than encainide or flecainide in suppressing ventricular premature depolarizations. Compared with disopyramide and quinidine, moracizine was equally or more effective in suppressing premature ventricular contractions, couplets, and nonsustained ventricular tachycardia.

In the Cardiac Arrhythmia Suppression Trial (CAST), a large study testing the influence of antiarrhythmics on mortality, showed a statistically non-significant increase of mortality from 5.4 to 7.2% under moracizine. This is in line with other class IC antiarrhythmics.[5]

Synthesis

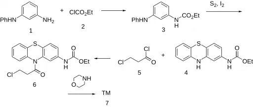
The reaction between N-phenyl-1,3-benzenediamine (1) and ethyl chloroformate (2) gives the carbamate (3). Treatment with sulfur and iodine forms the phenothiazine derivative (4). Amide formation with 3-chloropropionyl chloride (5) gives the penultimate intermediate (6). Alkylation of morpholine by nucleophilic substitution at the sidechain chlorine yields moricizine.[6][7]

See also

References

  1. ^ "The use of stems in the selection of International Nonproprietary Names (INN) for pharmaceutical substances" (PDF). World Health Organization. 2009. p. 103.
  2. ^ Ahmmed GU, Hisatome I, Kurata Y, Makita N, Tanaka Y, Tanaka H, et al. (March 2002). "Analysis of moricizine block of sodium current in isolated guinea-pig atrial myocytes. Atrioventricular difference of moricizine block". Vascular Pharmacology. 38 (3): 131–41. doi:10.1016/S1537-1891(02)00213-6. PMID 12402511.
  3. ^ British National Formulary (59th ed.). British Medical Journal Publishing Group, Pharmaceutical Press. 2010.
  4. ^ "Shire Announces Ethmozine will be Available until December 31, 2007". Heart Rhythm Society. Archived from the original on December 10, 2011. Retrieved January 12, 2012.
  5. ^ Cardiac Arrhythmia Suppression Trial II Investigators (July 1992). "Effect of the antiarrhythmic agent moricizine on survival after myocardial infarction". The New England Journal of Medicine. 327 (4): 227–33. doi:10.1056/NEJM199207233270403. PMID 1377359.
  6. ^ Gritsenko AN, Ermakova ZI, Zhuravlev SV (1972). "Synthesis of ethmozine, a new preparation with antiarrhythmic action". Pharmaceutical Chemistry Journal. 6 (9): 575–576. doi:10.1007/BF00776809.
  7. ^ "Moracizine". Pharmaceutical Substances. Georg Thieme Verlag KG. Retrieved 2024-07-02.