Organoniobium chemistry

Organoniobium chemistry is the chemistry of compounds containing niobium-carbon (Nb-C) bonds. Compared to the other group 5 transition metal organometallics, the chemistry of organoniobium compounds most closely resembles that of organotantalum compounds. Organoniobium compounds of oxidation states +5, +4, +3, +2, +1, 0, −1, and −3 have been prepared, with the +5 oxidation state being the most common.[1]

Compound classes

Structure of [Li(OEt2)3]+[NbMe6].

Carbonyls

Unlike vanadium, which forms the neutral hexacarbonyl, niobium does not easily form an analogous complex. The salts of the anionic binary carbonyl, [Nb(CO)6], are however well characterized. They are obtained by reduction of NbCl5 under an atmosphere of CO.

Alkyl

A wide variety of alkyl Nb compounds have been prepared. Low coordination number complexes require the absence of any β-hydrogen to prevent rapid β-hydride elimination.[2] The simplest compounds are salts of [Nb(CH3)6], which is prepared by alkylation of NbF5 using methyl lithium:[3]

NbF5 + 6 LiCH3 → Li[Nb(CH3)6] + 5 LiF

Cyclopentadienyl derivatives

Niobocene dichloride ((C5H5)2NbCl2).

The first organoniobium compound fully characterized was Cp2NbBr3,[4] however the paramagnetic Nb(IV) metallocenes such as niobocene dichloride are more prevalent. Complexes are typically prepared by treatment of NbCl5 with NaCp to form the bis(cyclopentadienyl) complex followed by further functionalization. Derivatives of pentamethylcyclopentadiene are also known, such as (C5Me5)2NbH3.[2]

Niobium carbonyls supported by Cp ligands can be prepared at various oxidation states of Nb and serve as useful precursors in niobium carbonyl chemistry.[5]

Alkylidenes

Along with the related organotantalum species, niobium alkylidenes were among the first Scrock carbenes studied. The first syntheses of these complexes involved addition of organolithium reagents lacking β-hydrogens into hindered Nb(V) complexes followed by α-proton elimination. As compared to tantalum alkylidenes, niobium alkylidenes are less thermally and hydrolytically stable.[6]

Alkyne complexes

The adducts from Nb(III) and alkynes are often described as metallacyclopropenes.

Similar to other d2 transition metals, Nb(III) produce adducts with alkynes. These derivatives are sometimes called Nb(V) alkenediyls metallacyclopropenes.[7] These alkendiyl complexes function as latent dianion equivalents. They react with electrophiles to give alkene derivatives.[7][8]

Applications

No commercial applications of organoniobium compounds have been reported. They have found limited use in organic synthesis.

Stoicheometric niobium reagents

A prominent early synthetic application of organoniobium chemistry was the use of dimethoxyethane niobium trichloride, NbCl3(DME), as a reagent for the reductive coupling of imines with carbonyl compounds to form amino alcohols.[9] This reagent has found further use in other pinacol-type reductive couplings.[10][8]

NbCl3(DME) mediated reductive coupling. Hydrolysis step is shown with implicit water.

Catalytic reactions

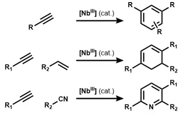
A number of formal [2+2+2] cycloadditions have been realized under Nb catalysis, including alkyne trimerizations and couplings of alkynes with alkenes or nitriles to form cyclohexadienes or pyridines, respectively. Typically a Nb(III) catalyst will form a Nb(V) metallocyclopropene with a terminal alkyne component and then engage in sequential migratory insertions and reductive elimination to furnish the six membered ring and regenerate the Nb(III).[8]

Nb(III) catalyzed formal [2+2+2] cycloadditions

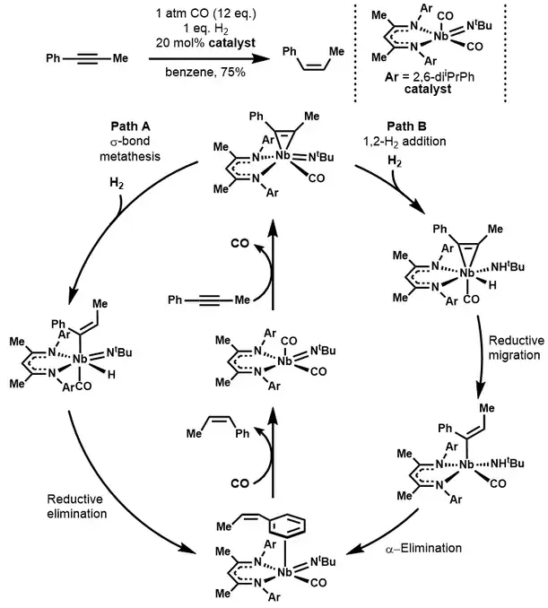
An organoniobium catalyst has also been developed for (Z)-selective semihydrogenation of alkynes. The mechanistic pathway for this reaction is distinct from other transition metal catalyzed hydrogenations, proceeding through the Nb(V) metallocyclopropene which engages with hydrogen either through direct sigma-bond metathesis or outer sphere 1,2-addition.[11]

Nb(III) catalyzed alkyne semihydrogenation

References

  1. ^ Waters, T.; Wedd, A. G.; Ziolek, M.; Nowak, I. (2004). Niobium and Tantalum. Vol. 4 (2nd ed.). Oxford: Elsevier. pp. 241–312. ISBN 978-0-08-0443263. {{cite book}}: |work= ignored (help)
  2. ^ a b Labinger, J. A. (1982). Niobium and Tantalum. Vol. 3 (1st ed.). Oxford: Pergamon. pp. 705–782. ISBN 978-0-08-025269-8. {{cite book}}: |work= ignored (help)
  3. ^ Kleinhenz, S.; Pfennig, V.; Seppelt, K. (1998). "Preparation and Structures of [W(CH3)6], [Re(CH3)6], [Nb(CH3)6], and [Ta(CH3)6]". Chem. Eur. J. 4 (9): 1687. doi:10.1002/(SICI)1521-3765(19980904)4:9<1687::AID-CHEM1687>3.0.CO;2-R.
  4. ^ Wilkinson, G.; Birmingham, J. M. (1954). "Bis-cyclopentadienyl Compounds of Ti, Zr, V, Nb and Ta". Journal of the American Chemical Society. 76 (17): 4281–4284. doi:10.1021/ja01646a008. ISSN 0002-7863.
  5. ^ Wigley, D. E.; Gray, S. D. (1995). Niobium and Tantalum. Vol. 5 (2nd ed.). Oxford: Pergamon. pp. 57–154. ISBN 978-0-08-042312-8. {{cite book}}: |work= ignored (help)
  6. ^ Schrock, Richard R. (1979). "Alkylidene complexes of niobium and tantalum". Accounts of Chemical Research. 12 (3): 98–104. doi:10.1021/ar50135a004. ISSN 0001-4842.
  7. ^ a b Parker, Kyle D. J.; Fryzuk, Michael D. (2015-06-08). "Synthesis, Structure, and Reactivity of Niobium and Tantalum Alkyne Complexes". Organometallics. 34 (11): 2037–2047. doi:10.1021/om5010385. ISSN 0276-7333.
  8. ^ a b c Satoh, Yasushi; Obora, Yasushi (2015). "Niobium Complexes in Organic Transformations: From Stoichiometric Reactions to Catalytic [2+2+2] Cycloaddition Reactions: Niobium Complex Organic Chemistry". European Journal of Organic Chemistry. 2015 (23): 5041–5054. doi:10.1002/ejoc.201500358.
  9. ^ Roskamp, Eric J.; Pedersen, Steven F. (1987). "The first practical niobium(III) reagent in organic synthesis. A convenient route to 2-amino alcohols via the coupling of imines with aldehydes or ketones promoted by NbCl3(DME)". Journal of the American Chemical Society. 109 (21): 6551–6553. doi:10.1021/ja00255a073. ISSN 0002-7863.
  10. ^ Kammermeier, Bernhard; Beck, Gerhard; Holla, Wolfgang; Jacobi, Detlev; Napierski, Bernd; Jendralla, Heiner (1996). "Vanadium(II)- and Niobium(III)-Induced, Diastereoselective Pinacol Coupling of Peptide Aldehydes to Give aC2-Symmetrical HIV Protease Inhibitor". Chemistry - A European Journal. 2 (3): 307–315. doi:10.1002/chem.19960020312.
  11. ^ Beaumier, Evan P.; Pearce, Adam J.; See, Xin Yi; Tonks, Ian A. (2019). "Modern applications of low-valent early transition metals in synthesis and catalysis". Nature Reviews Chemistry. 3 (1): 15–34. doi:10.1038/s41570-018-0059-x. ISSN 2397-3358. PMC 6462221. PMID 30989127.