Oxatomide

Oxatomide
Clinical data
Trade namesTinset, others
Other namesKW-4354; McN-JR 35443; R-35443
AHFS/Drugs.comInternational Drug Names
Routes of
administration
By mouth
ATC code
Legal status
Legal status
  • In general: ℞ (Prescription only)
Identifiers
  • 1-{3-[4-(diphenylmethyl)piperazin-1-yl]propyl}-1,3-dihydro-2H-benzimidazol-2-one
CAS Number
PubChem CID
ChemSpider
UNII
KEGG
ChEBI
ChEMBL
CompTox Dashboard (EPA)
ECHA InfoCard100.056.637
Chemical and physical data
FormulaC27H30N4O
Molar mass426.564 g·mol−1
3D model (JSmol)
  • O=C2Nc1ccccc1N2CCCN5CCN(C(c3ccccc3)c4ccccc4)CC5
  • InChI=1S/C27H30N4O/c32-27-28-24-14-7-8-15-25(24)31(27)17-9-16-29-18-20-30(21-19-29)26(22-10-3-1-4-11-22)23-12-5-2-6-13-23/h1-8,10-15,26H,9,16-21H2,(H,28,32) checkY
  • Key:BAINIUMDFURPJM-UHFFFAOYSA-N checkY
 ☒NcheckY (what is this?)  (verify)

Oxatomide, sold under the brand name Tinset among others, is a antihistamine of the diphenylmethylpiperazine family which is marketed in Europe, Japan, and a number of other countries.[1][2][3][4] It was discovered at Janssen Pharmaceutica in 1975.[5] Oxatomide lacks any anticholinergic effects.[2] In addition to its H1 receptor antagonism, it also possesses antiserotonergic activity similarly to hydroxyzine.[2] Oxatomide was also found to have antiviral activity against Venezuelan equine encephalitis virus (VEEV).[6]

It was patented in 1976 and came into medical use in 1981.[7]

Chemistry

Synthesis

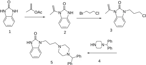
Oxatomide synthesis:[8][9]

Reaction of 2-Benzimidazolinone with isopropenyl acetate leads to the singly protected imidazolone derivative (2). Alkylation of this with 3-chloro-1-bromopropane affords the functionalized derivative (3). Alkylation of the monobenzhydryl derivative of piperazine (4) with 3 gives oxatomide (5), after hydrolytic removal of the protecting group.

References

  1. ^ Elks J (14 November 2014). The Dictionary of Drugs: Chemical Data: Chemical Data, Structures and Bibliographies. Springer. pp. 912–. ISBN 978-1-4757-2085-3.
  2. ^ a b c Ohmori K, Ishii H, Nito M, Shuto K, Nakamizo N (May 1983). "[Pharmacological studies on oxatomide (KW-4354). (7) Antagonistic effects on chemical mediators]". Nihon Yakurigaku Zasshi. Folia Pharmacologica Japonica (in Japanese). 81 (5): 399–409. doi:10.1254/fpj.81.399. PMID 6138301.
  3. ^ Index Nominum 2000: International Drug Directory. Taylor & Francis. 2000. pp. 768–. ISBN 978-3-88763-075-1.
  4. ^ "Oxatomide". Drugs.com.
  5. ^ Schwartz H (August 1989). Breakthrough: the discovery of modern medicines at Janssen. Skyline Pub. Group. p. 149. ISBN 978-1-56019-100-1.
  6. ^ Hu X, Morazzani E, Compton JR, Harmon M, Soloveva V, Glass PJ, et al. (July 2023). "In Silico Screening of Inhibitors of the Venezuelan Equine Encephalitis Virus Nonstructural Protein 2 Cysteine Protease". Viruses. 15 (7): 1503. doi:10.3390/v15071503. PMC 10385868. PMID 37515189.
  7. ^ Fischer J, Ganellin CR (2006). Analogue-based Drug Discovery. John Wiley & Sons. p. 548. ISBN 9783527607495.
  8. ^ DE 2714437, Vandenberk J, Kennis LE, Van der Aa MJ, Van Heertum AH, "Piperazin- und Piperidinderivate, Verfahren zu ihrer Herstellung und Arzneipräparate [Piperazine and piperide derivatives, procedures for their manufacturing and medicinal preparations]", published 1977-10-20, assigned to Janssen Pharmaceutica 
  9. ^ US 4250176, Vandenberk J, Kennis LE, Van der Aa MJ, Van Heertum AH, issued 10 February 1981, assigned to Janssen Pharmaceutica NV.